✋🏻㊗️どす恋ボンジュール流行語大賞🤚🏻
南澤恋々2024.12.06
金曜日はこっちゃんブログの日!
12期研究生 長野県出身 高校2年生17歳、
12/2日に、2024年新語・流行語大賞の発表があり
『ふてほど』
が年間大賞に選ばれました。
悔しくないと言ったらウソになります笑
こっちゃんの中では
『どす恋ボンジュール🖐🏻』
に全てを捧げた一年でした笑笑
残念だったな〜って思いながら帰宅。
『きたくんだよ〜』が最大のライバルだと思ってたんだけどなぁ…🙄🙄
『そー言えばSKE48の岐阜だって地元です(ギフト)に、はななんがゲストだって言ってたから聞こっと…📻』
『何々…』
『ぎふチャンの2024SKE流行語大賞…』
『満場一致でどす恋ボンジュールー👏🏻』
『マジですか⁉️』
『わーーーーーーーーい🙌🏻🥳🎉🎊』
はじめは言うのが恥ずかしかったけど、がんばってきて良かった〜😆
ホントは今でも恥ずかしいよ〜笑
続いて…
👩🦳君さん『どす恋ボンジュールって一体どーゆー意味なの?』
👱♀️はななん説明『南澤恋々ちゃんは相撲が特技で〜ほにゃらら〜ガーリックパンが好きだからボンジュールで〜ほにゃらら〜』
👩🦰あゆかさん『意外とこの単語の作られた理由って[しょうもない]…😅』
気分はMAXに達していましたが、最後の最後にあゆかさんからしょうもないと言われ、数分間で天国と地獄を味わいました、自分の生誕Tシャツを推しの桜花さんに渡すのに勇気が出なくて2ヶ月間かかりました12期ビジュアル担当南澤恋々(5151✨)です🙈

あゆかさんひどい!!😭😭
しょうもない理由だけど笑、たくさん案を出し合っていて、どす恋ボンジュールが出た瞬間みんなで
『これだ‼️』
ってなったんですよ〜😩
ほんとにショックビッグ大です😮💨
それと早く覚えてほしいのですが、
『ど↗︎す』恋じゃなくて
『ど→す』恋です😮💨😮💨
けど…
今回は桜花さんに生誕Tシャツを渡すことができたので許します笑
推しは見ているだけで幸せ🌟🌟
ファンの皆さんは見ているだけじゃなくて会いに来なきゃダメだからね🤭
今年はギフトで流行語大賞を頂きましたが🥇、来年こそはユーキャン年間大賞を目指したいと思います‼️
あれ?
新語じゃないけど来年もどす恋ボンジュールでエントリーしていいのかな笑
どす恋ボンジュールは日本だけじゃなくて世界共通語🌏にしなきゃいけないので、
来年も『どす恋ボンジュール』をよろしくお願いします🤗

11/30.12/1、トーク会・握手会ありがとうございました🎶
可愛い私服こっちゃん、サンタこっちゃんどーでしたか⁉️
いつも可愛いのは知ってますけど、今回は更に可愛いかったのではないでしょうか😍笑笑
美人は3日で飽きるとも言われているので、ビジュアル良すぎるのもどーなのかなって最近心配になります😏😏
美人て言うか可愛い方だから心配しなくても大丈夫だね🤭
先週のブログで書きましたが、
『どす恋ボンジュール🗣️⤴️』
って大きな声であいさつしてね❣️点数を付けるからねってお話しした通り、まとめてグラフ📊にしてみたのでご覧ください。全て%です。

皆さん恥ずかしがって、50点が1番多かったですね😮💨
普通に恥ずかしいですよね笑
0点はどすボン無し、100点は迷惑すぎる程大きな声でどすボンとなっています笑
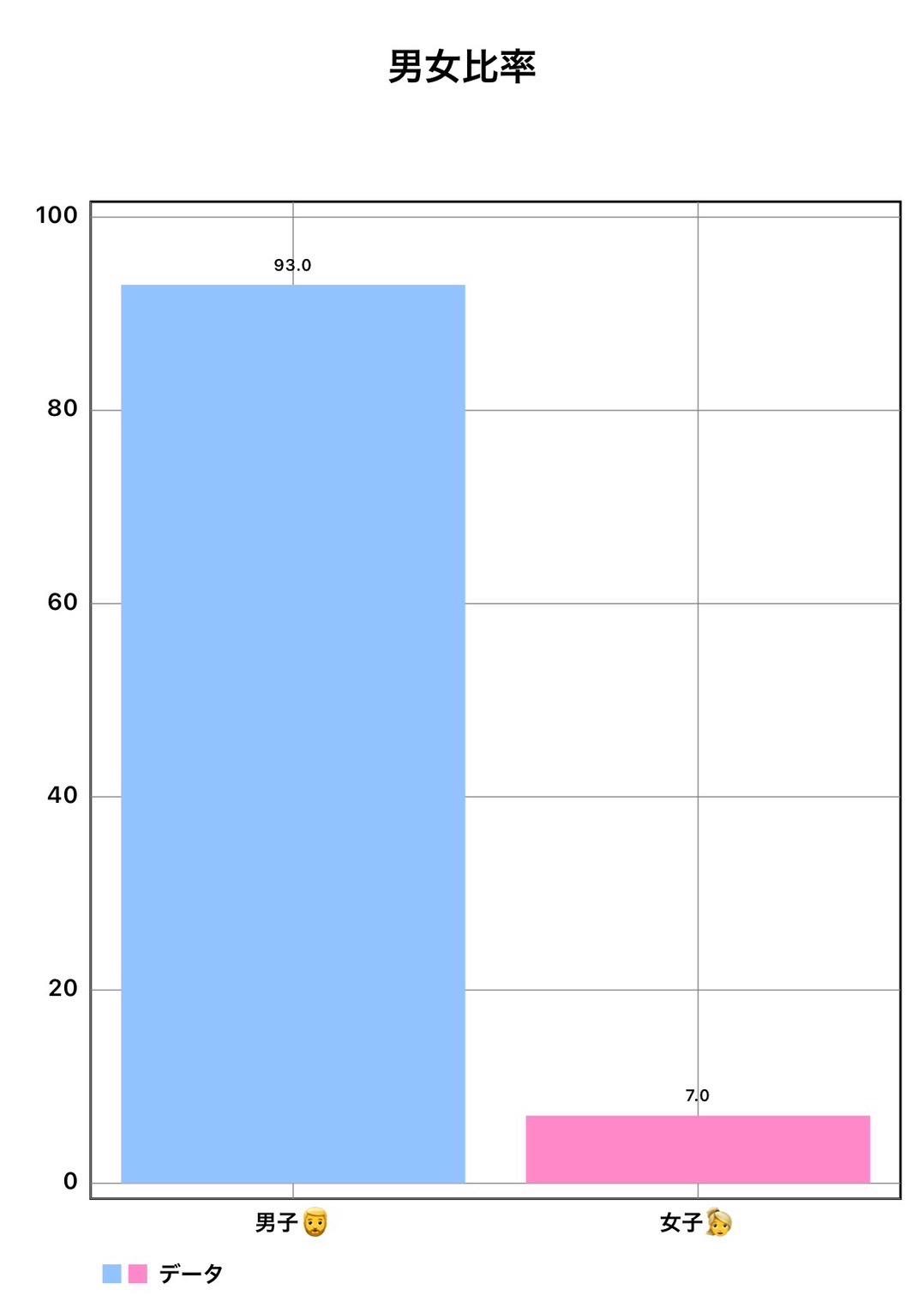
ついでといっては何ですが、年齢別と男女比率もグラフ📊にしてみたのでどうぞ。


年齢も男女比率も予想通りですかね笑
課題として、同世代&女性ファンを増やしていかなければいけないと一目でわかりますが、こっちゃんの場合、まず完売を目指す事が最優先です😭😭笑
滑走路✈️なんじゃないかと心配して会いにきてくれたファンの方もいて凄く助かりましたが🥺、今までのイベントの中では1番行列だったように思えました🙌🏻🎊
1〜2月に握手会・トーク会・ツーショット会とまだまだありますので、皆さんとりあえず1度、どす恋に会いに来てみてはどーでしょうか🤗
ツーショット会の写真を送ってくれた方には、似顔絵を書いてSHOWROOM配信にて発表します。
送ってくれた写真は、
『どすノート📓』
と言うアルバムにとじていきますので、顔も名前も覚えちゃいます👍🏻
1つだけ注意⚠️してほしいのは、SHOWROOM配信を見たどす恋警察👮に、こっちゃんレーン以外に並んでいるとバレて捕まってしまうので気をつけてください笑笑
➖➖➖➖➖➖➖➖➖➖➖➖➖➖
以上南澤恋々でした🎶
まりんさんとSKE48♡1+1は2じゃないよ!に出演させていただいたので、YouTube配信でご覧ください🤗
やったねどす恋ボイス❣️
👋🏻ばいばいボンジュール👋🏻
略してばいボ〜ン👋🏻🎶